DOJIN NEWS
 トップページ > N6-2AE-NAD
commercial

N6-2AE-NAD

 NAD (Nicotinamide Adenine Dinucleotide)は生体内で様々な脱水素酵素(デヒドロゲナーゼ)の補酵素として重要な働きをしています。例えば、乳酸脱水素酵素(LDH)による乳酸のピルビン酸への変換や、アルコール脱水素酵素(ADH)によるエタノールのアセトアルデヒドへの変換において電子の授受に関わっています(Fig. 1)。

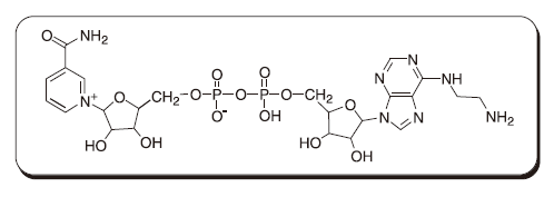
 小社では現在、反応性基を導入した補酵素の開発を進めており、N6-2AE-NAD は NAD のアデニンのN 6 位にアミノエチル基を導入した誘導体です。末端のアミノ基を介して電極やタンパク質などに共有結合で固定化することが可能です。酵素による NAD+ の NADH への還元率を 100 としたときに、N6-2AE-NAD は、80 ほどの還元率を保持していることが報告されています 1, 2, 3)
 このような性質を生かして、N6-2AE-NAD はバイオセンサに応用されています。 Kharitonov らは SiO2 や金基板上へ NAD を共有結合で固定化し、Field-Effect Transistor (FET)ベースの乳酸検出用酵素センサを作製しています(Fig. 24)

N6-2AE-NAD にご興味のある方は、小社までお問合せ下さい。

 

[参考文献]

1) H. L. Schmidt, G. Grenner, Eur. J. Biochem. 1976, 67, 295.

2) M. Muramatsu, I. Urabe, Y. Yamada, H. Okada, Eur. J. Biochem. 1977, 80, 111.

3) J. Hendle, A. F. Buckmann, W. Aehle, D. Schomburg, R. D. Schmid, Eur. J. Biochem. 1993, 213, 947.

4) A. B. Kharitonov, M. Zayats, L. Alfonta, E. Katz, I. Willner, Sens. Actuators B, 2001, 76, 203.